1.以下不属于内力作用表现形式的是
A. 变质作用
2.下列 ①水滴石穿 ②沧海桑田 ③稳如泰山 ④坚如磐石 词语中,从地质学观点看正确的是:
A. ①②
地质作用包括内力作用和外力作用,对地表形态会产生重大影响。读黄土高原和狮身人面像图,完成下面小题。

3.“千沟万壑、支离破碎”是黄土高原地表形态的典型写照,其成因主要是
A. 风力侵蚀
4.矗立在尼罗河畔的埃及狮身人面像缺损严重,其主要原因可能是
A. 海蚀作用
C. 喀斯特作用
读下图,回答下列各题。
5.综合图中信息,制约a地区发展交通运输的主要因素是(
A. 气候
6.为发展a城镇及附近地区的经济,计划修建由a城镇至c港口城市的公路。图中最合理的选线方案是(
A. ①线路
过去,山区公路多为“之”字形盘山公路。现在,兴建高速公路则是逢山开道,遇沟建桥,尽量取最短距离(如图)。据此完成下面小题。

7.早期山区公路选线多为“之”字形,主要是考虑
A. 气候因素
8.在山区兴建高速公路不呈“之”字形,其主要原因有 ①经济实力的增强 ②汽车性能的改善 ③科技水平的提高 ④为节省投资
A. ①③
下图为湖泊演变为陆地的过程示意图。读图完成下面小题。

9.10.湖泊演变为陆地的过程是
A. ③④①②
C. ②④①③
11.12.湖泊演变为陆地过程中的主导因素是
A. 气候
C. 水文
13.14.图示演变过程体现了地理环境的
A. 区域性
下图为我国北方部分地区自然带分布略图,读图完成下面小题。
15.图中甲、乙、丙的自然带依次是
A. 温带落叶阔叶林带、温带草原带、温带荒漠带
B. 温带草原带、温带荒漠带、温带落叶阔叶林带
C. 温带落叶阔叶林带、温带荒漠带、温带草原带
D. 温带荒漠带、温带草原带、温带落叶阔叶林带
16.自然带的这种变化体现的地域分异规律是
A. 从赤道向两极
下图为“某国人口自然增长率变化曲线图”,读图回答下面小题。

A. ①
C. ③
18.下列各国目前人口发展情况与图示④阶段相似的是
A. 埃及
C. 德国
图示反映了亚洲某国人口构成的变化及其发展趋势(单位:%)。读图,完成下面小题。


A. 年轻劳动力过剩
21.22.图中显示,该国人口平均寿命状况是
A. 平均寿命延长,女性长于男性
C. 平均寿命缩短,女性长于男性
23.图中a、b、c分别表示0~14岁、15~64岁、65岁及以上三个年龄段人口所占总人口比重。图中①国0~14岁年龄段人口占总人口的比重及应采取的相应措施,正确的是

C. 10% 鼓励生育
读“20世纪世界人口、资源、环境污染的相关示意图”,回答下面小题。

A. 人口增长与资源和环境污染均无相关关系
B. 人口增长与资源无相关关系,与环境污染呈正相关
C. 人口增长与资源呈负相关,与环境污染呈无相关关系
D. 人口增长与资源呈负相关,与环境污染呈正相关
25.由图示可反映出制约环境人口容量最主要的因素是
A. 资源
26.读“兰州市略图”,兰州整个城市呈东西向带状分布,造成这种城市布局特点的最主要区位因素是

C. 交通运输的需要
读武汉城市圈示意图,完成下面小题。

A. 武汉
29.30.该城市圈中,下列叙述正确的有
①武汉市的服务范围可以扩展到城市圈的其他城市 ②等级低的城市数量大、相距较远 ③天门市比武汉市的服务种类少、级别低 ④各级城市间相互独立、互不联系
A. ①②
读河流地貌示意图,回答下面小题。

A. 冲积扇、三角洲、河漫滩平原
B. 河漫滩平原、三角洲、冲积扇
C. 三角洲、冲积扇、河漫滩平原
D. 冲积扇、河漫滩平原、三角洲
32.下列地貌与冲积平原形成原因相同的是
A. 挪威峡湾
下图为某沿海地区一山地垂直自然带分布图,完成下面小题。

A. 北半球温带地区
C. 南半球温带地区
35.36.决定该山山麓自然带分布的主导因素是
A. 海陆位置
图示为我国部分省级行政区2005—2010年人口净迁移率(迁入率与迁出率之差,正数表示人口净迁入,负数表示人口净迁出)与人口自然增长率分布图。读图完成下面小题。

A. 加剧了北京、上海、天津的交通拥堵状况
B. 引起江西、贵州的人口合理容量增大
C. 增强了广东、浙江第一产业的活力
D. 使北京、上海人口老龄化问题更加严重
38.下列有关我国部分省级行政区2005—2010年人口变化状况叙述,正确的是
A. ①②
下图表示某地区人口增长模式的转变过程。据此下面小题。

A. 人口急剧膨胀
C. 人口增长停滞
40.与“人口自然增长率迅速降低,高龄人口比例缓慢增加”对应的期间是
A. Ⅰ期
读“某城市地租等值线与功能区结构分布图”,完成下面小题。

A. 商业区、住宅区、工业区
C. 商业区、工业区、住宅区
43.44.M处地租等值线明显向外凸出的原因是
A. 交通干线经过
某年夏季北京市连续遭受几次严重的城市内涝。读表格中提供的该年北京市城市中心区和郊外平原区相关数据,完成下面小题。

A. 市区蒸发量减少
C. 市区地下径流增加
46.要减轻内涝对北京市中心区的影响,下列措施最有效的是
A. 将市中心区的地表水调往郊区
B. 提倡营造“绿色屋顶”和“绿色阳台”
C. 扩大城市的规模
D. 城市建设中尽可能保护天然池塘、河道
第II卷(非选择题)
二、综合题
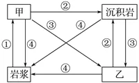
47.读地壳物质循环示意图,完成下列问题。

(2)①②③④中能量来自地球内部的有
(3)图中序号①②③④中,表示分别表示的地质作用是①
(4)下列属于甲岩石的是
A.石灰岩
48.读“自然景观地域分布示意图”回答下列问题。

(2)喜马拉雅山南坡复杂的景观变化规律近似________(A:①→②→③→④ B:③→⑤→⑥)的变化,产生的原因是______________________________。
49.读某城市示意图,回答下列问题。
(1)若图中工业区布局合理,则该城市主导风向是____________(偏南或偏北)。
(2)除考虑风向外,据图分析该城市工业区布局的合理性。
(3)E、F所示的两区域中,表示商业中心的是________区域。
(4)A、B、C、D四地中,最适宜建中高级住宅区的是____地,原因是
参考答案
1.C
【来源】高中地理人教版必修1 第4章第1节 内力作用和外力作用 练习
【解析】内力作用的能量来自地球内部,地质作用、岩浆活动和地壳运动都是内力作用的主要表现;侵蚀作用的能量是来自地球外部能量的太阳辐射,故C项正确。
【点睛】内力作用的主要表现形式
①地壳运动(最主要形式):按运动方向可分为水平运动和垂直运动。水平运动指组成地壳的岩层,沿平行于地球表面方向的运动。也称造山运动或褶皱运动。该种运动常常可以形成巨大的褶皱山系,以及巨型凹陷、岛弧、海沟等。垂直运动,又称升降运动、造陆运动,它使岩层表现为隆起和相邻区的下降,可形成高原、断块山及凹陷盆地和平原,还可引起海侵和海退,使海陆变迁。(全球以水平运动为主)
②变质作用:是指先已存在的岩石受物理条件和化学条件变化的影响,改变其结构、构造和矿物成分,成为一种新的岩石的转变过程。
2.A
【来源】【全国百强校】辽宁省沈阳市东北育才学校人教版高中地理必修一4.1
【解析】“水滴石穿”指流水的侵蚀作用,符合地质学观点;“沧海桑田”说的是海洋变成陆地或陆地变成海洋,比喻海陆的变迁,地壳运动可以导致海陆变迁,符合地质学观点;在地表形态塑造过程中,内、外力同时起作用,内力作用塑造高山和低地,外力作用则把高山削低,把低地填平,不断地塑造着地表形态;岩石因风化作用下不断崩解、破碎。因此“稳如泰山”、“坚如磐石”不符合地质学观点,故A正确。
3.C
4.B
【来源】2014-2015学年重庆市第一中学高二4月月考地理试卷(带解析)
【解析】试题分析:
3.黄土高原是由风力堆积形成的;“千沟万壑、支离破碎”是由于流水的侵蚀形成的。选C正确。
4.埃及是热带沙漠气候,干燥少雨,昼夜温差大,风化作用和风力作用强;狮身人面像缺损是风力侵蚀和物理风化作用形成的。选B正确。
考点:主要考查外力作用。
5.C
6.D
【来源】【百强校】2015-2016学年湖南省衡阳市八中高一下期中地理试卷(带解析)
【解析】试题分析:
5.综合图中信息,a地区位于山地区,周围高山环绕,制约a地区发展交通运输的主要因素是地形,A对。河流有运输功能,不是制约因素,B错。气候不是制约交通运输的主要因素,C错。资源促进交通的发展,不是制约因素,D错。
6.根据题目,修建由a城镇至c港口城市的公路,目的是为发展a城镇及附近地区的经济,图中④线路穿过山区路短,联系的市镇多,利于带动沿线地区的发展,所以最合理的选线方案是④线路,D对。①线路、②线路、③线路联系市镇少,对发展附近地区经济意义较差,A、B、C错。
【考点定位】影响交通运输发展的主要因素,线路选择的原因。
7.C
8.A
【来源】2014年高中地理基础知识总复习课时精练:地表形态的塑造2(带解析)
【解析】试题分析:
7.山区的线路一般选择地势相对和缓的山间盆地和河谷地带,且线路多呈“之”字形弯曲,原因是山间盆地和河谷地带自然条件相对优越,呈“之”字形弯曲可以减小单位距离内的坡度。故选择C项。
8.曾经的“之”字形路是因为技术水平低,经济力量不足。在山区兴建高速公路不呈“之”字形,是因为经济实力增强,科技水平提高,①、③对。与汽车性能无关,②错。投资不一定减少,④错。故C项正确。
考点:山区选线的原则
9.10.A
11.12.D
13.14.B
【来源】2016届北京市东城区高三上学期期末考试地理试卷(带解析)
【解析】试题分析:
9.10.湖泊演变为陆地的过程中,湖泊泥沙沉积量逐渐增加,水量减少,湖泊面积缩小,到后期陆生生物生长,演变过程结束;结合四幅图可知,湖泊演变为陆地的过程是③④①②,故A项正确。
11.12.湖泊演变为陆地过程中,植物营养素沉积湖底(动植物枯死、腐烂)是最早发生的现象,生物的生长是在营养素的条件下发生的,并且一直持续到陆生生物的形成,故湖泊演变为陆地过程中的主导因素是生物,故D项正确。
13.14.图中演变过程最初是由生物因素发生的变化,导致水文、地形等因素的改变,最终导致整个环境整体发生变化,故演变过程体现了地理环境的整体性特征,B项正确。
【考点】整体性,湖泊演变为陆地的过程
15.A
16.B
【来源】2011-2012学年山东省临沂市高一上学期期末模块质量调研地理试卷
【解析】
15.本题考查地理环境的地域分异规律。从甲到丙距离海洋的距离越来越远,降水越来越少,植被由森林向草原在变为荒漠。甲为温带落叶阔叶林带,乙为温带草原带,丙为温带荒漠带。所以本题选择A选项。
16.中纬度沿海地区为森林,内陆地区水分少形成草原荒漠的地域分异规律体现从沿海向内陆的分异规律。所以本题选择B选项。
17.D
18.C
【来源】2011-2012学年山西大同市实验中学高一下学期期中考试地理试题(带解析)
【解析】
17.人口自然增长率大于0,该国人口数量就增加,达到顶峰的时期为人口自然增长率等于0时。对照图示,为④时,D对。其它时段未达到顶峰,A、B、C错。
18.目前人口发展情况与图示④阶段相似的,即人口自然增长率为0的,只可能是发达国家,选项中德国人口自然增长率目前小于0,与④阶段相似,C对。其它三国是发展中国家,人口自然增长率大于0,A、B、D错。
点睛:人口自然增长率大于0,人口总数量就增加。人口自然增长率等于0时,人口总数量达到顶峰。小于0,人口总量减少。德国人口自然增长率目前小于0。
19.20.B
21.22.A
【来源】2011-2012学年山西省平遥中学高一下学期期中考试理科地理试题(带解析)
【解析】
19.20.对比分析该图1980~2025年人口金字塔图可知,0~15岁少年型人口比重呈下降趋势,说明人口增长率呈下降趋势,20~45岁年龄段(年轻人口)人口比重2000年至2025年呈下降趋势,说明年轻劳动力会逐渐短缺;60~80岁老年人口比重呈明显增加趋势,反映老龄化趋势显著。
21.22.根据图中60~80岁老年人口比重呈明显增加趋势,反映老龄化趋势显著,且平均寿命延长,女性长于男性,所以B正确。
【点睛】人口金字塔图以图形来呈现人口年龄和性别的分布情形,以年龄为纵轴,以人口数为横轴,按左侧为男、右侧为女绘制图形,其形状如金字塔。金字塔底部代表低年龄组人口,金字塔上部代表高年龄组人口,人口金字塔图反映了过去人口的情况,如今人口的结构,以及今后人口可能出现的趋势。
23.B
【来源】【全国百强校】吉林省长春市外国语学校2017-2018学年高一下学期期中考试地理(理)试题
【解析】考查人口结构与人口问题。
a表示0~14岁的未成年人数所占总人口比重,图中国家①的0~14岁人口比重达60%,说明该国人口增长迅速,必须采取(实行)计划生育政策。故选B。
24.D
25.A
【来源】2012-2013学年广东省佛山市佛山一中高一下学期第一次段考地理试题(带解析)
【解析】试题分析:
24.直接根据图示判断,随着人口加快增长,资源不断减少,而环境污染不断加重。故D项正确。
25.自然资源是人类生产生活资料的主要来源。要保证人类社会的持续发展就要有足够的自然资源,故资源是限制人口容量的首要因素。
考点:本题考查环境问题、环境人口容量的主要影响因素和读图综合分析能力。
点评:本题难度低,基础性试题。抓住图示的基本信息判断人口、资源和环境之间的关系,并结合制约人口容量的首要因素分析即可。
26.D
【来源】【优选整合】2017-2018学年高中地理人教版必修2 第2章第1节 城市内部空间结构 第1课时 练习题
【解析】从图中可以看出,兰州位于黄河谷地中,依山傍水,其发展被迫沿着河流两岸东西延伸,形成条带状格局,所以D正确。
27.28.A
29.30.C
【来源】2014-2015学年黑龙江省双鸭山市第一中学高一下期末考试地理试卷(带解析)
【解析】试题分析:
27.28.图示城市圈中,等级最高的城市是武汉,是省会城市,A对。咸宁、孝感、黄石不是省会城市,等级低,B、C、D错。
29.30.武汉市的服务范围可以扩展到城市圈的其他城市,①对。等级低的城市数量多、相距较近,②错。天门市比武汉市服务种类少、级别低,③对。各级城市间相互联系,服务范围没有严格界限,④错。
考点:城市等级、服务范围、数量的特征。
31.D
32.C
【来源】【全国百强校】吉林省长春市外国语学校2017-2018学年高一下学期期中考试地理(理)试题
【解析】考查河流地貌,地质作用与地貌。
31.根据图中三地与河流的关系,可判断出①位于河流出山口处,形成洪积—冲积平原;②位于河流中下游,为河漫滩平原;③位于河流入海口处,为三角洲。故选D。
32.崇明岛是由流水堆积作用形成的;而挪威峡湾属于冰川侵蚀地貌;庐山属于断块山;长江三峡属于河流侵蚀地貌。故选C。
33.34.C
35.36.B
【来源】【优选整合】高中地理人教版必修1 第5章第2节 自然地理环境的垂直地域分异和非地带性 测试
【解析】
33.34.同一个自然带北坡比南坡分布较高,说明北坡为阳坡,该山地位于南半球;根据基带为落叶阔叶林带,说明该山地位于温带地区,故C项正确。
35.36.山麓基带的自然带与所在纬度地带性植被一致,说明山麓自然带分布的主导因素是纬度位置,故B项正确。
【点睛】山地垂直地带分布与向阳坡的关系
①对高度愈大,纬度位置愈低的山地,自然带数量愈多。
37.A
38.C
【来源】【全国百强校】吉林省长春市外国语学校2017-2018学年高一下学期期中考试地理(理)试题
【解析】考查人口迁移与人口流动。
37.图中北京、上海、天津人口增加率都大于0,人口增长快,加剧交通的拥堵,A正确;影响人口容量的主要因素是资源、科技水平、对外开放度和消费水平,江西、贵州人口外迁的多,但与人口自然增长率相比,当地人口在增加,人口的合量容量不会增大,B错;第一产业是农业,广东、浙江外来人口多,主要是进入城市务工的,不是从事农业生产的,C错;进入北京、上海的外来人口,多为青壮年,不会加剧老龄化,D错。故选A。
38.根据净迁入率定义及图示可知,江西省净迁入率小于0,所以净迁入人口数减少;天津净迁入率和自然增长率都大于0,人口增加率数值大,而四川人口净迁移率小于0,自然增长率大于0,天津的人口增加率大于四川即天津的人口增长率大于四川;广东自然增长率7,人口净迁入率小于0.15,自然增长人口数大于净迁入人口数;贵州人口自然增长率超过7远远大过人口净迁入率,贵州人口增加的多。故选C。
39.D
40.C
【来源】【全国百强校】吉林省长春市外国语学校2017-2018学年高一下学期期中考试地理(理)试题
【解析】考查人口增长模式。
39.Ⅰ阶段为原始型的人口再生产类型,具有高出生率、高死亡率、低自然增长率的特点;这一时期人口平均寿命较低。故选D。
40.由图中可以直接看出Ⅲ期出生率急剧下降,自然增长率迅速降低,老龄人口比重缓慢增加。故选C。
41.42.C
43.44.A
【来源】2017-2018学年人教版高一地理必修2单元测试卷:第二单元
【解析】
41.42.从图中可以看出,A功能区所占比重最大,为商业区,城市外围B功能区用地所占比重最大,为工业区,C占比中最大区域位于市中心和外围的结合部,是住宅区,所以A、B、C分别代表商业区、工业区、住宅区。
43.44.从图中可以看出,M处地租等值线明显向外凸出,说明地租较高,但M不在市中心,最可能是有交通干线经过,所以A正确。
45.A
46.D
【来源】【全国百强校】吉林省长春市外国语学校2017-2018学年高一下学期期中考试地理(理)试题
【解析】考查城市化的影响。
45.由于城市建设导致市区水泥地面取代植被地,故蒸发量减少,A正确;市区水泥地面下渗减少,故地下径流量减少,C错误;城市建设对郊区径流总量、郊区降水量影响较小,BD错误。故选A。
46.针对城市内涝形成的原因,城市的排水系统不畅和湖泊、河流的泄洪不畅,故应保护城市的天然池塘和河道。故选D。
47.(1)岩浆岩
【来源】【全国百强校】吉林省长春市外国语学校2017-2018学年高一下学期期中考试地理(理)试题
【解析】考查岩石圈的物质循环。
(1)只有岩浆经过上升冷却凝固作用,才能形成岩浆岩,即只有一个箭头指向的是岩浆岩,故甲为岩浆岩。岩浆岩和沉积岩都可以经过变质作用转化为变质岩,故乙为变质岩。
(2)从岩浆到岩浆岩的地质作用是冷却凝固①,从沉积岩到变质岩的地质作用是变质作用③,从各类岩石到岩浆的地质作用是重熔再生或熔融,表示重熔再生作用的是④,故①③④中能量来自地球内部。从岩浆岩到沉积岩的地质作用是风化、侵蚀、搬运、沉积和固结成岩等外力作用,②表示各类岩石经过外力作用转化为沉积岩,故②能量来自地球外部。
(3)岩浆经过上升冷却凝固作用转化为岩浆岩.故①表示冷却凝固作用.各类岩石经过风化、侵蚀、搬运、沉积和固结成岩等外力作用转化为沉积岩,故表示固结成岩作用的是②;③从沉积岩到变质岩的地质作用是变质作用,故表示变质作用的是③;④表示从各类岩石到岩浆的地质作用是重熔再生或熔融,故表示重熔再生作用的是④。
(4)读图可知,甲是岩浆冷却凝固形成,故甲为岩浆岩。岩浆岩分为侵入岩与喷出岩,选项中玄武岩属于岩浆喷出地表冷却凝固形成的喷出岩,故选C。
48.(1)热量 从赤道向两极的地域分异
(3)距海洋远近不同,水分条件发生变化
【来源】【全国百强校】吉林省长春市外国语学校2017-2018学年高一下学期期中考试地理(理)试题
【解析】考查地理环境的地域分异规律。
(1)此题考查水平地域分异规律。从赤道到两极的地域分异规律:形成基础是热量的差异,影响因素是纬度因素,分异规律是东西方向延伸、南北方向更替,其中在低纬度和高纬度最为显著。自然景观从①→②→③→④的变化,方向是南北方向更替,东西方向延伸,所以体现的是从赤道到两极的地域分异规律,形成基础是热量的差异,产生的根本原因是太阳辐射从低纬向高纬递减。
(2)此题考查地理环境的垂直地域分异规律。垂直地域分异规律(这种分异规律与从赤道到两极的地域分异规律相似):形成基础是水分和热量状况,影响因素是海拔高低,分异规律是垂直方向更替,其中在中低纬度高海拔山地最为显著。关于山地的垂直地域分异规律中,一般山地的迎风坡自然带的分布界线偏高(迎风坡上水分和热量丰富),而雪线则是在迎风坡低(因为在迎风坡上降水多)。一般山区的垂直自然带的多少与纬度和海拔有关。山体的纬度越低,海拔越高,自然带越丰富。喜马拉雅山南坡的景观变化规律近似于从赤道到两极的地域分异规律,从①→②→③→④的变化,体现的是从赤道到两极的地域分异规律,所以选A。喜马拉雅山南坡的景观变化的原因是随着海拔的升高,山体水热组合状况不同。
(3)此题考查地理环境的水平地域分异规律。从沿海到内陆的地域分异规律:形成基础是水分的差异,影响因素是海陆位置,分异规律是平行于海岸方向延伸、垂直于海岸方向更替,其中在北半球中纬度最为显著.具体表现为:森林→(森林草原)→草原→荒漠。③为温带落叶阔叶林,而同纬度的⑥为温带荒漠带,产生差异的原因是降水从沿海向内陆逐渐减少。
49.(1)偏南风
(2)靠近铁路和公路,运输方便;靠近河流,用水方便;和住宅区之间有河流作为隔离带,可减少对住宅区的污染。(一点即可)
(3)E
(4)A 位于盛行风的上风向,靠近河流上游和风景区。(一点即可)
【来源】【全国百强校】吉林省长春市外国语学校2017-2018学年高一下学期期中考试地理(理)试题
【解析】考查城市功能分区。
(1)图示工业区位于城市的偏北方向,工业区应位于主导风向的下风向,则判断该地区的主导风向为偏南风。
(2)工业布局除了考虑工业自身的需求,如接近原料或接近市场或交通便利等,还需要考虑工业的污染,大气污染,水污染等。工业区位于城市的边缘,地价低,可降低生产成本;靠近河流和公路,交通便利;工业区可能有水污染,故应考虑河流流向;工业区和城区之间有河流作卫生防护带,可减轻对城市的环境污染。
(3)商业区占地面积小,一般靠近市中心或交通干线附近,故选E。
(4)高级住宅区要求交通便利,环境优美,远离闹市区,环境质量好的“上风上水”(在城市上风向,河流上游等)位置。